<勾配法(gradient method)>

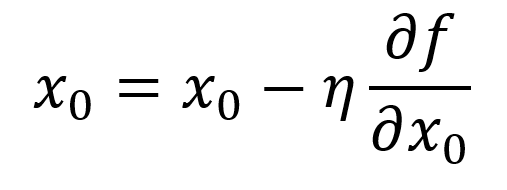
勾配法では,現在の場所から勾配方向に一定の距離だけ進みます。そして,移動した先でも同様に勾配を求め,また,その勾配方向へ進むというように,繰り返し勾配方向へ移動します。このように,勾配方向へ進むことを繰り返すことで,関数の値を徐々に減らすのが勾配法です。勾配法は機械学習の最適化問題でよく扱われる手法です。目的が最小値を探すことか,それとも最大値を探すことかによって呼び名が変わります。最小値を探す場合を勾配降下法,最大値を探す場合を勾配上昇法といいます。一般的に,ニューラルネットワーク(ディープラーニング)の分野では,勾配法は「勾配降下法」として登場することが多くあります。勾配法を数式で表すと以下のようになります。

<学習率(learning rate)>

「η」は更新の量を表します。これは,ニューラルネットワークの学習においては,「学習率」と呼ばれます。1回の学習でどれだけ学習すべきか,どれだけパラメータを更新するか,ということを決めるのが学習率です。学習率の値は,0.01や0.001など,前もって何らかの値に決める必要があります。この値は,一般的に,大きすぎても小さすぎても,「良い場所」にたどり着くことができません。ニューラルネットワークの学習においては,学習率の値を変更しながら,正しく学習できているかどうか,確認作業を行うのが一般的です。